x = Real Re y = Imag Im
r = Abs
= Argument
With the input of Re and Im the values of r and
are changed to the corrsponding values.
With the input of r and
the values of Re and Im are changed to the corrsponding values:
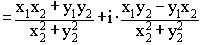
The complex numbers Z1 and Z2 can do the following operations: The result apears at
.


The 3 complex numbers can be conjugated. This means the sign of the imaginary part changes.
à Additional formulas about conjunct complex
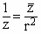
Reciprocal value:
Power: