Sector

Previous  Top  Next

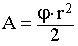
Area:      

Arclength:   

Gravity point:

circle ring sector:
R>r
Area:

circle width
d=R-r

Gravity point has the distance x to the center:


Angle in RAD