Regular Polygon

Previous  Top  Next

Length of side:      a
Number of corners:   n
Sum of angles:      (n-2)p
Circumference:         U = n a
Outer radius:       
clip0159  
 
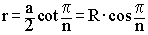
Inner radius:      
clip0160  

Area:         
clip0161  

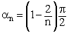
Angle at basis:       
clip0162  

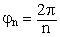
Outer angle:      
clip0163