Mathematical introduction

Previous  Top  Next

Symbol
Name
algorithms  
example
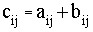
clip0026
Addition


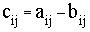
clip0027
Subtraction


clip0028
Multiplication


clip0029
Multiplication with number


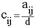
clip0030
Division


clip0031
Inverse


clip0032
Multiplication with vektor


clip0033
Solution of linear equationsystem


clip0034
Determinante


clip0025
Rotation matrix around clip0195 and angle clip0196