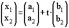
For a line there are different ways to define, that can be converted to each other:
Parameter form:  
;   
Pointform: The line is defined with the 2 points   
und .
 
Coordinates form in 2 dimensions:    a x +b y=c
Conversion point form in parameter form
.
Conversion parameter form in pointform
;   
Conversion parameter form in coordinates form (2D)
  
 ---->  -b2 x +b1 y = (a2 b1  a1 b2)
Conversion coordinates form in parameter form (2D)
If a  0
;   

else if  b  0
;   

else
parallel: Both vectors an
d  a
re linear undependend. There is no l¹0 with .