Quaternions

Previous  Top  Next

Quaternions are similar to complex and hyper complex numbers, but their multiplication is not cummutative clip0038.
They have 3 non real parts, that are marked here with the letters j, k and l.
The real part will not have an own letter here.
clip0039
The multiplication between the non real parts is defined in the following way:
clip0040
clip0041
clip0042
clip0043
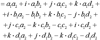
Multiplication:
clip0044
      <--compare hyper complex  
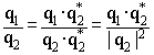
Division:
clip0047
Addition of quaternions:
clip0048
Subtraction:
clip0049
conjunct:
clip0050
Abs:
clip0051
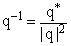
Inverse
clip0052
Standard quaternion
clip0053
Description of rotation:
clip0054   corresponds to the rotation angle.
clip0055   corresponds to the rotation axis.
Power
clip0056
A quaternion can also be written like a complexe 2x2-matrix
clip0057
or like a real 4x4-matrix
clip0058

Quaternions are mainly used in computer graphics to descibe rotations in the space.

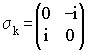
Also they are used in quant mechanics to describe spins. Doing this, put instead of the marks (e,i,j,k) the Pauli spin matrices
clip0059;    clip0060;    clip0061;    clip0062