Vectors

Previous  Top  Next


name
algorithms  
example

Addition



Subtraction



Multiplication



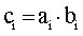
Scalar product



Cross product (only 3 dimensions)



Multiplication with a number



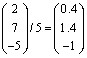
Division



Length of clip0194



Unit vector with length 1



Angle between 2 Vectors




Spar product