Handrechnung
Überblick  Zurück  Weiter

Berechnung der Konstanten A und B

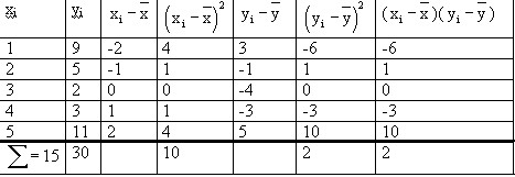
·Legen Sie eine Tabelle mit folgenden 7 Spalten an.  
clip0244
·Tragen Sie in den ersten beiden Spalten die x und y-Werte ein.  
·Berechnen Sie die Summen der beiden Spalten  
·Berechnen Sie die Durchschnittswerte, indem Sie durch die Anzahl der Datenpaare (N) teilen.  
   clip0241 ; clip0242
·Füllen sie jetzt die anderen Spalten auf.  
·Bilden Sie die Summen zu den Spalten 4 und 7.  
·  
·  

Beispiel
clip0240
N=5
;      
;