Regelmäßiges Polygon

Überblick  Zurück  Weiter

Seitenlänge:      a
Anzahl der Ecken:   n
Winkelsumme:      (n-2)p
Umfang:         U = n a
Umkreisradius:       
clip0159  
 
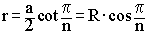
Inkreisradius:      
clip0160  

Fläche:         
clip0161  

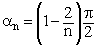
Basiswinkel:       
clip0162  

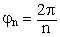
Außenwinkel:      
clip0163