Mathematische Einführung

Überblick  Zurück  Weiter


Symbol
Name
Rechenregel
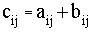
clip0026
Addition

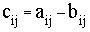
clip0027
Subtraktion

clip0028
Multiplikation

clip0029
Multiplikation mit Zahl

clip0030
Division

clip0031
Inverse

clip0032
Multiplikation mit Vektor

clip0033
Lösung eines linearen Gleichungssystems

clip0034
Determinante

clip0025
Rotationsmatrix um Vektor und Winkel