Vektorrechnung

Überblick  Zurück  Weiter

In der Natur lassen sich einige Messgrössen, wie Temperatur, Leistung oder Dichte, durch eine einzige Zahl ausdrücken.
Andere Grössen haben aber neben dem Betrag noch eine Richtung. Darstellen lässt sich dies durch einen Pfeil. Man drückt diese Grössen durch Vektoren aus. Hierbei gehören immer mehrere Zahlen zusammen, die gemeinsam nach bestimmten Regeln verrechnet werden.
Diese Rechenregeln werden im folgenden vorgestellt.

Symbol
Name
Rechenregel  
Beispiel

Addition



Subtraktion



Multiplikation



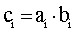
Skalarprodukt



Kreuzprodukt



Multiplikation mit einer Zahl



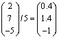
Division



Betrag oder Länge



Einheitsvektor mit Länge 1



Winkel zwischen 2 Vektoren




Spatprodukt, orientiertes Volumen