x = Realteil Re y = Imaginärteil Im
r = Betrag
= Argument
Bei der Eingabe von Re und Im werden die beiden Werte r und
entsprechen angepasst.
Bei der Eingabe von r und
werden die beiden Werte Re und Im entsprechen angepasst.
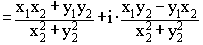
Die beiden komplexen Zahlen Z1 und Z2 können addiert, subtrahiert, multipliziert und dividiert werden.


konjugieren. D.h. das Vorzeichen des Imaginärteils wird geändert.
à Weitere Formeln zu konjugiert komplex
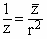
Kehrwert:
Potenz: