Trigonometrische Funktionen

Überblick  Zurück  Weiter

Die folgenden Funktionen beschreiben, wie man trigonometrische Funktionen von komplexen Zahlen berechnet

·sin z=sin x cosh y +i cos x sinh y  
·sinh z=sinh x cos y +i cosh x sin y  

·cos z=cos x cosh y -i sin x sinh y  

·cosh z=cosh x cos y +i sinh x sin y  
·  
·  
·  
·  


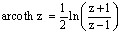
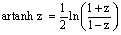
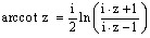
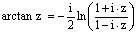
Inverse Trigonometrische Funktionen im Komplexen

·  
·  
·  
·  
·  
·  
·  
·