Für eine Gerade gibt es verschiedene Darstellungsformen, die sich ineinander überführen lassen:
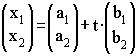
Parameterdarstellung:
;
Punktform: Die Gerade geht durch die beiden Punkte
und
.
Koordinatendarstellung im 2 dimensionalen: a x +b y=c
Umrechnung Punktform in Parameterdarstellung
.
Umrechnung Parameterdarstellung in Punktform
;
Umrechnung Parameterdarstellung in Koordinatendarstellung (2D)
----> -b2 x +b1 y = (a2 b1 a1 b2)
Umrechnung Koordinatendarstellung in Parameterdarstellung (2D)
Wenn a

0

;
sonst wenn b

0

;
sonst
parallel: Die beiden Richtungsvektoren sind linear unabhängig. D.h. es gibt kein l¹0 mit